Medical Information Only: This medication is not sold on this site. The information provided is for reference purposes only. Please consult your local physician or pharmacist for treatment.

SARCLISA 20mg/mL concentrate for solution for infusion: Clinical Particulars

 

Active ingredient: isatuximab

Medically reviewed by Min Clinic Staff | Updated: January 2026

  This medicinal product is subject to additional monitoring. This will allow quick identification of new safety information. Healthcare professionals are asked to report any suspected adverse reactions. See section 4.8 for how to report adverse reactions.

 

1. Name of the medicinal product

SARCLISA 20mg/mL concentrate for solution for infusion.

 

2. Qualitative and quantitative composition

One ml of concentrate for solution for infusion contains 20 mg of isatuximab.

Each vial contains 100 mg of isatuximab in 5 mL of concentrate (100 mg/5mL).

Each vial contains 500 mg of isatuximab in 25 mL of concentrate (500 mg/25mL).

Isatuximab is an immunoglobulin G1 (IgG1) monoclonal antibody (mAb) produced from a mammalian cell line (Chinese Hamster Ovary, CHO).

For the full list of excipients, see section 6.1.

 

3. Pharmaceutical form

Concentrate for solution for infusion.

Colourless to slightly yellow solution, essentially free of visible particulates.

 

4. Clinical particulars

4.1 Therapeutic indications

SARCLISA is indicated, in combination with pomalidomide and dexamethasone, for the treatment of adult patients with relapsed and refractory multiple myeloma (MM) who have received at least two prior therapies including lenalidomide and a proteasome inhibitor (PI) and have demonstrated disease progression on the last therapy.

 

4.2 Posology and method of administration

SARCLISA should be administered by a healthcare professional, in an environment where resuscitation facilities are available.

Premedication

Premedication should be used prior to SARCLISA infusion with the following medicinal products to reduce the risk and severity of infusion reactions:

• Dexamethasone 40 mg oral or intravenous (or 20 mg oral or intravenous for patients ≥75 years of age).

• Acetaminophen 650 mg to 1000 mg oral (or equivalent).

• H2 antagonists (ranitidine 50 mg intravenous or equivalent [e.g., cimetidine]), or oral proton pump inhibitors (e.g., omeprazole, esomeprazole).

• Diphenhydramine 25 mg to 50 mg intravenous or oral (or equivalent [e.g., cetirizine, promethazine, dexchlorpheniramine]). The intravenous route is preferred for at least the first 4 infusions.

The above recommended dose of dexamethasone (oral or intravenous) corresponds to the total dose to be administered only once before the infusion, as part of the premedication and the backbone treatment, before isatuximab and pomalidomide administration.

The recommended premedication agents should be administered 15-60 minutes prior to starting a SARCLISA infusion. Patients who do not experience an infusion reaction upon their first 4 administrations of SARCLISA may have their need for subsequent premedication reconsidered.

Management of neutropenia

The use of colony-stimulating factors (e.g. G-CSF) should be considered to mitigate the risk of neutropenia. In the event of grade 4 neutropenia, SARCLISA administration should be delayed until neutrophil count improves to at least 1.0 x 109/L (see section 4.4).

Posology

The recommended dose of SARCLISA is 10 mg/kg body weight administered as an intravenous infusion in combination with pomalidomide and dexamethasone (isatuximab regimen), according to the schedule in the Table 1:

Table 1: SARCLISA dosing schedule in combination with pomalidomide and dexamethasone

Cycles

Dosing schedule

Cycle 1

Days 1, 8, 15 and 22 (weekly)

Cycle 2 and beyond

Days 1, 15 (every 2 weeks)

Each treatment cycle consists of a 28-day period. Treatment is repeated until disease progression or unacceptable toxicity.

For other medicinal products that are administered with SARCLISA, refer to the respective current summary of product characteristics.

The administration schedule must be carefully followed. If a planned dose of SARCLISA is missed, administer the dose as soon as possible and adjust the treatment schedule accordingly, maintaining the treatment interval.

Dose adjustments

No dose reduction of SARCLISA is recommended.

Administration adjustments should be made if patients experience infusion reactions (see “Method of administration” below).

For other medicinal products that are administered with SARCLISA, the respective current summary of product characteristics should be considered.

Special populations

Elderly

Based on population pharmacokinetic analysis, no dose adjustment is recommended in elderly patients.

Patients with renal impairment

Based on population pharmacokinetic analysis and on clinical safety, no dose adjustment is recommended in patients with mild to severe renal impairment (see section 5.2).

Patients with hepatic impairment

Based on population pharmacokinetic analysis, no dose adjustment is recommended in patients with mild hepatic impairment. Data in patients with moderate and severe hepatic impairment are limited (see section 5.2), but there is no evidence to suggest that dose adjustment is required in these patients.

Paediatric population

The safety and efficacy of SARCLISA in children below 18 years of age have not been established. No data are available.

Method of administration

SARCLISA is for intravenous use. For instructions on dilution of the medicinal product before administration, see section 6.6.

Infusion rates

Following dilution, the SARCLISA infusion should be administered intravenously at the infusion rate presented in the Table 2 below (see section 5.1). Incremental escalation of the infusion rate should be considered only in the absence of infusion reactions (see section 4.8).

Table 2: Infusion rates of SARCLISA administration

Dilution volume

Initial rate

Absence of infusion reaction

Rate increment

Maximum rate

First infusion

250 mL

25 mL/ hour

For 60 minutes

25 mL/hour every 30 minutes

150 mL/ hour

Second infusion

250 mL

50 mL/ hour

For 30 minutes

50 mL/ hour for 30 minutes then increase by 100 mL/ hr every 30 minutes

200 mL/ hour

Subsequent infusions

250 mL

200 mL/ hour

–––––

–––––

200 mL/ hour

Administration adjustments should be made if patients experience infusion reactions (see section 4.4)

• In patients who experience Grade 2 (moderate) infusion reactions, a temporary interruption in the infusion should be considered and additional symptomatic medicinal products can be administered. After improvement to grade ≤1 (mild), SARCLISA infusion may be resumed at half of the initial infusion rate under close monitoring and supportive care, as needed. If symptoms do not recur after 30 minutes, the infusion rate may be increased to the initial rate, and then increased incrementally, as shown in Table 2.

• If symptoms do not resolve rapidly or do not improve to Grade ≤1 after interruption of SARCLISA infusion, recur after initial improvement with appropriate medicinal products, or require hospitalization or are life-threatening (Grade ≥3), treatment with SARCLISA should be permanently discontinued and additional supportive therapy should be administered, as needed.

 

4.3 Contraindications

Hypersensitivity to the active substance or to any of its excipients listed in section 6.1.

 

4.4 Special warnings and precautions for use

Traceability

In order to improve the traceability of biological medicinal products, the name and the batch number of the administered product should be clearly recorded.

Infusion reactions

Infusion reactions, mostly mild or moderate, have been observed in 38.2% of patients treated with SARCLISA (see section 4.8). All infusion reactions started during the first SARCLISA infusion and resolved on the same day in 98% of the infusions. The most common symptoms of an infusion reaction included dyspnoea, cough, chills and nausea. The most common severe signs and symptoms included hypertension and dyspnoea (see section 4.8).

To decrease the risk and severity of infusion reactions, patients should be pre-medicated prior to SARCLISA infusion with acetaminophen, H2 antagonists or proton pump inhibitors, diphenhydramine or equivalent; dexamethasone is to be used as both premedication and anti-myeloma treatment (see section 4.2). Vital signs should be frequently monitored during the entire SARCLISA infusion. When required, interrupt SARCLISA infusion and provide appropriate medical and supportive measures (see section 4.2). In case symptoms do not improve after interruption of SARCLISA infusion, recur after initial improvement with appropriate medicinal products, require hospitalization or are life-threatening, permanently discontinue SARCLISA and institute appropriate management.

Neutropenia

Grade 3-4 neutropenia reported as laboratory abnormalities (84.9%) and neutropenic complications (30.3%) have been observed in patients treated with SARCLISA (see section 4.8).

Complete blood cell counts should be monitored periodically during treatment. Patients with neutropenia should be monitored for signs of infection. No dose reductions of SARCLISA are recommended. SARCLISA dose delays and the use of colony-stimulating factors (e.g. G-CSF) should be considered to mitigate the risk of neutropenia (see section 4.2).

Infection

A higher incidence of infections including grade ≥ 3 infections, mainly pneumonia, upper respiratory tract infection and bronchitis, occurred with SARCLISA (see section 4.8). Patients receiving SARCLISA should be closely monitored for signs of infection and appropriate standard therapy instituted. Antibiotics, antifungal and antiviral prophylaxis can be considered during treatment.

Second primary malignancies

In ICARIA-MM study, second primary malignancies (SPMs) were reported in 6 patients (3.9%) treated with SARCLISA and in 1 patient (0.7%) treated with pomalidomide and dexamethasone, and included skin squamous cell carcinoma in 4 patients treated with SARCLISA and in 1 patient treated with pomalidomide and dexamethasone (see section 4.8). Patients continued treatment after resection of the skin squamous cell carcinoma. The overall incidence of SPMs in all the SARCLISA-exposed patients is 3%. Physicians should carefully evaluate patients before and during treatment as per IMWG guidelines for occurrence of SPM and initiate treatment as indicated.

Interference with serological testing (indirect antiglobulin test)

Isatuximab binds to CD38 on red blood cells (RBCs) and may result in a false positive indirect antiglobulin test (indirect Coombs test). To avoid potential problems with RBC transfusion, patients being treated with SARCLISA should have blood type and screen tests performed prior to the first infusion. Phenotyping may be considered prior to starting SARCLISA treatment as per local practice. If treatment with SARCLISA has already started, the blood bank should be informed. Patients should be monitored for theoretical risk of haemolysis. If an emergency transfusion is required, non- cross- matched ABO/Rh-compatible RBCs can be given as per local blood bank practices (see section 4.5). There is currently no available information with regards to how long the interference with the indirect Coombs test may persist after the last infusion of SARCLISA. Based on the half-life of isatuximab, it is anticipated that isatuximab mediated positive indirect Coombs test may persist for approximately 6 months after the last infusion.

Interference with determination of complete response

Isatuximab is an IgG kappa monoclonal antibody that could be detected on both serum protein electrophoresis (SPE) and immunofixation (IFE) assays used for the clinical monitoring of endogenous M-protein (see section 4.5). This interference can impact the accuracy of the determination of complete response in some patients with IgG kappa myeloma protein. Twenty-two patients in the isatuximab regimen arm who met Very Good Partial Response (VGPR) criteria with only residual immunofixation-positivity were tested for interference. Serum samples from these patients were tested by mass spectrometry to separate isatuximab signal from the myeloma M-protein signal. (see section 4.5).

Elderly

Data are limited in the elderly population ≥ 85 years old (see section 4.2).

 

4.5 Interaction with other medicinal products and other forms of interaction

Isatuximab has no impact on the pharmacokinetics of pomalidomide and vice versa.

Interference with serological testing

Because CD38 protein is expressed on the surface of red blood cells, isatuximab, an anti-CD38 antibody, may interfere with blood bank serologic tests with potential false positive reactions in indirect antiglobulin tests (indirect Coombs tests), antibody detection (screening) tests, antibody identification panels, and antihuman globulin (AHG) crossmatches in patients treated with isatuximab (see section 4.4). The interference mitigation methods include treating reagent RBCs with dithiothreitol (DTT) to disrupt isatuximab binding or other locally validated methods. Since the Kell Blood group system is also sensitive to DTT treatment, Kell-negative units should be supplied after ruling out or identifying alloantibodies using DTT-treated RBCs.

Interference with Serum Protein Electrophoresis and Immunofixation Tests

Isatuximab may be detected by serum protein electrophoresis (SPE) and immunofixation (IFE) assays used for the monitoring of M-protein, and could interfere with accurate response classification based on International Myeloma Working Group (IMWG) criteria (see section 4.4).

 

4.6 Fertility, pregnancy and lactation

Women of childbearing potential/Contraception

Women of childbearing potential treated with isatuximab should use effective contraception during treatment and for 5 months after cessation of treatment.

Pregnancy

There are no available data on isatuximab use in pregnant women. Animal reproduction toxicity studies have not been conducted with isatuximab. Immunoglobulin G1 monoclonal antibodies are known to cross the placenta after the first trimester of pregnancy. The use of isatuximab in pregnant women is not recommended.

Breast-feeding

It is unknown whether isatuximab is excreted in human milk. Human IgGs are known to be excreted in breast milk during the first few days after birth, which is decreasing to low concentrations soon afterwards; however, a risk to the breast-fed child cannot be excluded during this short period just after birth. For this specific period, a decision must be made whether to discontinue breast-feeding or to discontinue/abstain from isatuximab therapy taking into account the benefit of breast-feeding for the child and the benefit of therapy for the woman. Afterwards, isatuximab could be used during breast-feeding if clinically needed.

Fertility

No human and animal data are available to determine potential effects of isatuximab on fertility in males and females (see section 5.3).

For other medicinal products that are administered with isatuximab, refer to the respective current summary of product characteristics.

 

4.7 Effects on ability to drive and use machines

SARCLISA has no or negligible influence on the ability to drive and use machines.

 

4.8 Undesirable effects

Summary of the safety profile

The most frequent adverse reactions (≥20%) are neutropenia (46.7%), infusion reactions (38.2%), pneumonia (30.9%), upper respiratory tract infection (28.3%), diarrhoea (25.7%) and bronchitis (23.7%).

The most frequent serious adverse reactions are pneumonia (9.9%) and febrile neutropenia (6.6%).

Tabulated list of adverse reactions

Adverse reactions are described using the NCI Common Toxicity Criteria, the COSTART and the MedDRA terms. Frequencies are defined as: very common (≥ 1/10), common (≥ 1/100 to < 1/10); uncommon (≥ 1/1,000 to < 1/100); rare (≥ 1/10,000 to < 1/1,000); very rare (< 1/10,000); not known (cannot be estimated from available data).

Within each frequency grouping, adverse reactions are presented in order of decreasing seriousness.

The adverse reactions were selected based on an incidence of ≥ 5% (all grades) or ≥ 2% (grades 3) of patients treated with isatuximab regimen group and based on the incidence rate being ≥ 5% greater in the isatuximab regimen group compared to the comparator regimen (pomalidomide and low-dose dexamethasone) group. The terms atrial fibrillation and skin squamous cell carcinoma were added because of their clinical relevance.

Table 3a: Adverse reactions reported in patients with multiple myeloma treated with isatuximab in combination with pomalidomide and low-dose dexamethasone (ICARIA-MM study)

System Organ Class

Preferred Term

Adverse reaction

Frequency

Incidence (%)

(N=152)

Any Grade

Grade ≥3

Infections and infestations

Pneumoniab

Very common

47 (30.9)

40 (26.3)

Upper respiratory tract infection*

Very common

43 (28.3)

5 (3.3)

Bronchitis*

Very common

36 (23.7)

5 (3.3)

Neoplasms benign, malignant and unspecified (incl cysts and polyps)

Skin squamous cell carcinoma

Common

4 (2.6)

2 (1.3)

Blood and lymphatic system disorders

Neutropeniac

Very common

71 (46.7)

70 (46.1)

Febrile neutropenia

Very common

18 (11.8)

18 (11.8)

Metabolism and nutrition disorders

Decreased appetite*

Common

15 (9.9)

2 (1.3)

Cardiac disorders

Atrial fibrillation

Common

7 (4.6)

3 (2.0)

Respiratory, thoracic and mediastinal disorders

Dyspnoea*

Very common

23 (15.1)

6 (3.9)

Gastrointestinal disorders

Diarrhoea*

Very common

39 (25.7)

3 (2.0)

Nausea*

Very common

23 (15.1)

0

Vomiting*

Very common

18 (11.8)

2 (1.3)

Investigations

Weight decreased*

Common

10 (6.6)

0

Injury, poisoning and procedural complications

Infusion reaction

Very common

58 (38.2)

4 (2.6)

a Only TEAEs are reported in the Table 3. The haematology laboratory values are reported in the Table 4.

b The term pneumonia is a grouping of the following terms: atypical pneumonia, bronchopulmonary aspergillosis, pneumonia, pneumonia haemophilus, pneumonia influenzal, pneumonia pneumococcal, pneumonia streptococcal, pneumonia viral, candida pneumonia, pneumonia bacterial, haemophilus infection, lung infection, pneumonia fungal and pneumocystis jirovecii pneumonia.

c Haematology laboratory values were recorded as TEAEs only if they led to treatment discontinuation and/or dose modification and/or fulfilled a serious criterion and/or were defined as an AESI.

* No grade 4

Description of selected adverse reactions

Infusion reactions

In ICARIA-MM, infusion reactions were reported in 58 patients (38.2%) treated with SARCLISA. All patients who experienced infusion reactions, experienced them during the 1st infusion of SARCLISA, with 3 patients (2.0%) also having infusion reactions at their 2nd infusion, and 2 patients (1.3%) at their 4th infusion. Grade 1 infusion reactions were reported in 3.9%, Grade 2 in 31.6%, Grade 3 in 1.3%, and Grade 4 in 1.3% of the patients. All infusion reactions were reversible and resolved the same day in 98% of the infusions. Signs and symptoms of Grade 3 or higher infusion reactions included dyspnoea, hypertension and bronchospasm.

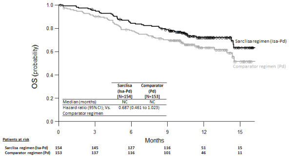
The incidence of infusion interruptions because of infusion reactions was 28.9%. The median time to infusion interruption was 55 minutes.Discontinuations from treatment due to infusion reaction were reported in 2.6% of patients in isatuximab regimen group. Infections In ICARIA-MM, the incidence of Grade 3 or higher infections was 42.8%. Pneumonia was the most commonly reported severe infection with Grade 3 reported in 21.7% of patients in isatuximab regimen group compared to 16.1% in comparator regimen (pomalidomide and low-dose dexamethasone) group, and Grade 4 in 3.3% of patients in isatuximab regimen group compared to 2.7% in comparator regimen group. Discontinuations from treatment due to infection were reported in 2.6% of patients in isatuximab regimen group compared to 5.4% in comparator regimen group. Fatal infections were reported in 3.3% of patients in isatuximab regimen group and 4.0% in comparator regimen group. Haematology laboratory values Table 4: Haematology laboratory abnormalities in patients receiving isatuximab combined with pomalidomide and low-dose dexamethasone–versus pomalidomide and low-dose dexamethasone (ICARIA-MM) Laboratory parameter SARCLISA + Pomalidomide + low-dose Dexamethasonen(%) (N=152) Pomalidomide + low-dose Dexamethasonen(%) (N=147) All grades Grade 3 Grade 4 All grades Grade 3 Grade 4 Anemia 151 (99.3) 48 (31.6) 0 145 (98.6) 41 (27.9) 0 Neutropenia 146 (96.1) 37 (24.3) 92 (60.5) 137 (93.2) 57 (38.8) 46 (31.3) Lymphopenia 140 (92.1) 64 (42.1) 19 (12.5) 137 (93.2) 52 (35.4) 12 (8.2) Thrombocytopenia 127 (83.6) 22 (14.5) 25 (16.4) 118 (80.3) 14 (9.5) 22 (15.0) The denominator used for the percentage calculation is the number of patients with at least 1 evaluation of the laboratory test during the considered observation period. Immunogenicity Across 6 clinical studies in multiple myeloma (MM) with isatuximab single agent and combination therapies including ICARIA-MM (N=564), the incidence of treatment emergent ADAs was 2.3%. No effect of ADAs was observed on pharmacokinetics, safety or efficacy of isatuximab. Reporting of suspected adverse reactions Reporting suspected adverse reactions after authorisation of the medicinal product is important. It allows continued monitoring of the benefit/risk balance of the medicinal product. Healthcare professionals are asked to report any suspected adverse reactions via the Yellow Card Scheme at: www.mhra.gov.uk/yellowcard or search for MHRA Yellow Card in the Google Play or Apple App Store.   4.9 Overdose Signs and symptoms There has been no experience of overdosage in clinical studies. Doses of intravenous isatuximab up to 20 mg/kg have been administered in clinical studies. Management There is no known specific antidote for SARCLISA overdose. In the event of overdose, monitor the patients for signs or symptoms of adverse reactions and take all appropriate measures immediately.   5. Pharmacological properties 5.1 Pharmacodynamic properties Pharmacotherapeutic group: Antineoplastic agents, monoclonal antibodies, ATC code: L01XC38. Mechanism of action Isatuximab is an IgG1-derived monoclonal antibody that binds to a specific extracellular epitope of CD38 receptor. CD38 is a transmembrane glycoprotein that is highly expressed on multiple myeloma cells. In vitro, isatuximab acts through IgG Fc-dependent mechanisms including: antibody dependent cell mediated cytotoxicity (ADCC), antibody dependent cellular phagocytosis (ADCP), and complement dependent cytotoxicity (CDC). Furthermore, isatuximab can also trigger tumor cell death by induction of apoptosis via an Fc-independent mechanism. In vitro, isatuximab blocks the enzymatic activity of CD38 which catalyzes the synthesis and hydrolysis of cyclic ADP-ribose (cADPR), a calcium mobilizing agent. Isatuximab inhibits the cADPR production from extracellular nicotinamide adenine dinucleotide (NAD) in multiple myeloma cells. In vitro, isatuximab can activate NK cells in the absence of CD38 positive target tumour cells. In vivo, a decrease in absolute counts of total CD16+ and CD56+ NK cells, CD19+ B-cells, CD4+ T-cells and TREG (CD3+, CD4+, CD25+, CD127-) was observed in peripheral blood of patients treated with isatuximab monotherapy. In multiple myeloma patients, SARCLISA monotherapy induced clonal expansion of the T-cell receptor repertoire indicating an adaptive immune response. The combination of isatuximab and pomalidomide in vitro enhances cell lysis of CD38 expressing multiple myeloma cells by effector cells (ADCC), and by direct tumour cell killing compared to that of isatuximab alone. In vivo animal experiments using a human multiple myeloma xenograft model in mice demonstrated that the combination of isatuximab and pomalidomide results in enhanced antitumour activity compared to the activity of isatuximab or pomalidomide alone. Clinical efficacy and safety ICARIA-MM (EFC14335) The efficacy and safety of SARCLISA in combination with pomalidomide and low-dose dexamethasone were evaluated in ICARIA-MM (EFC14335), a multicenter, multinational, randomised, open-label, 2-arm, phase III study in patients with relapsed and refractory multiple myeloma. Patients had received at least two prior therapies including lenalidomide and a proteasome inhibitor with disease progression on or within 60 days after the end of the previous therapy. Patients with primary refractory disease were excluded. A total of 307 patients were randomised in a 1:1 ratio to receive either SARCLISA in combination with pomalidomide and low-dose dexamethasone (isatuximab regimen, 154 patients) or pomalidomide and low-dose dexamethasone (comparator regimen, 153 patients). Treatment was administered in both groups in 28-day cycles until disease progression or unacceptable toxicity. SARCLISA 10 mg/kg was administered as an I.V. infusion weekly in the first cycle and every two weeks thereafter. Pomalidomide 4 mg was taken orally once daily from day 1 to day 21 of each 28-day cycle. Low-dose dexamethasone (oral/intravenous) 40 mg (20 mg for patients ≥75 years of age) was given on days 1, 8, 15 and 22 for each 28-day cycle. Overall, demographic and disease characteristics at baseline were similar between the two treatment groups, with some minor imbalances. The median patient age was 67 years (range 36-86), 19.9% of patients were ≥75 years. ECOG PS was 0 in 35.7% of patients in the isatuximab arm and 45.1% in the comparator arm, 1 in 53.9% in the isatuximab arm and 44.4% in the comparator arm, and 2 in 10.4% in the isatuximab arm and 10.5% in the comparator arm, 10.4% of patients in the isatuximab arm versus 10.5% in the comparator arm entered the study with a history of COPD or asthma, and 38.6% versus 33.3% of patients with renal impairment (creatinine clearance <60 mL/min/1.73 m²) were included in the isatuximab arm versus the comparator arm , respectively. The International Staging System (ISS) stage at study entry was I in 37.5% (41.6% in the isatuximab arm and 33.3% in the comparator arm), II in 35.5% (34.4% in the isatuximab arm and 36.6% in the comparator arm) and III in 25.1% (22.1% in the isatuximab arm and 28.1% in the comparator arm) of patients. Overall, 19.5% of patients (15.6% in the isatuximab arm and 23.5% in the comparator arm) had high-risk chromosomal abnormalities at study entry; del(17p), t(4;14) and t(14;16) were present in 12.1% (9.1% in the isatuximab arm and 15.0% in the comparator arm), 8.5% (7.8% in the isatuximab arm and 9.2% in the comparator arm) and 1.6% (0.6% in the isatuximab arm and 2.6% in the comparator arm) of patients, respectively. The median number of prior lines of therapy was 3 (range 2-11). All patients received a prior proteasome inhibitor, all patients received prior lenalidomide, and 56.4% of patients received prior stem cell transplantation. The majority of patients (92.5%) were refractory to lenalidomide, 75.9% to a proteasome inhibitor, and 72.6% to both an immunomodulatory and a proteasome inhibitor, and 59% of patients were refractory to lenalidomide at last line of therapy. The median duration of treatment was 41.0 weeks for the isatuximab regimen group compared to 24.0 weeks for the comparator regimen group. Progression free survival (PFS) was the primary efficacy endpoint of ICARIA-MM. The improvement in PFS represented a 40.4% reduction in the risk of disease progression or death in patients treated with the isatuximab regimen. Efficacy results are presented in the table 5 and Kaplan-Meier curves for PFS and OS are provided in Figures 1 and 2: Table 5: Efficacy of SARCLISA in combination with pomalidomide and low-dose dexamethasone versus pomalidomide and low-dose dexamethasone in the treatment of multiple myeloma (intent-to-treat analysis) Endpoint SARCLISA + pomalidomide + low-dose dexamethasone N =154 Pomalidomide + low-dose dexamethasone N = 153 Progression-Free Survivala b Median (months) [95% CI] 11.53 [8.936-13.897] 6.47 [4.468-8.279] Hazard ratioc [95% CI] 0.596 [0.436-0.814] p-value (stratified log-rank test)c 0.0010 Overall Response Rated Responders (sCR+CR+VGPR+PR) n(%) [95% CI]e 93 (60.4) [0.5220-0.6817] 54 (35.3) [0.2775-0.4342] Odds ratio vs comparator [95% exact CI] 2.795 [1.715-4.562] p-value (stratified Cochran-Mantel-Haenszel)c <0.0001 Stringent Complete Response (sCR) + Complete Response (CR) n(%) 7 (4.5) 3 (2.0) Very Good Partial Response (VGPR) n(%) 42 (27.3) 10 (6.5) Partial Response (PR) n(%) 44 (28.6) 41 (26.8) VGPR or better n(%) [95% CI]e 49 (31.8) [0.2455-0.3980] 13 (8.5) [0.0460-0.1409] Odds ratio vs comparator [95% exact CI] 5.026 [2.514-10.586] p-value (stratified Cochran-Mantel Haenszel)c <0.0001 Duration of Responsef * Median in months [95% CI]g 13.27 [10.612-NR] 11.07 [8.542-NR] a PFS results were assessed by an Independent Response Committee based on central laboratory data for M-protein and central radiologic imaging review using the International Myeloma Working Group (IMWG) criteria. b Patients without progressive disease or death before the analysis cut-off or the date of initiation of further anti-myeloma treatment were censored at the date of the last valid disease assessment not showing disease progression performed prior to initiation of a further anti-myeloma treatment (if any) or the analysis cut-off date, whichever came first. c Stratified on age (<75 years versus ≥75 years) and number of previous lines of therapy (2 or 3 versus >3) according to IRT. d sCR, CR, VGPR and PR were evaluated by the IRC using the IMWG response criteria. e Estimated using Clopper-Pearson method. f The duration of response was determined for patients who achieved a response of ≥PR (93 patients in the isatuximab arm and 54 patients in the comparator arm). Kaplan-Meier estimates of duration of response. g CI for Kaplan-Meier estimates are calculated with log-log transformation of survival function and methods of Brookmeyer and Crowle. *Cut-off date of 11-Oct-2018. Median follow-up time=11.60 months. HR<1 favors isatuximab regimen arm. NR: not reached In patients with high-risk cytogenetics (central laboratory assessment), median PFS was 7.49 (95% CI: 2.628 to NC) in the isatuximab regimen group and 3.745 (95% CI: 2.793 to 7.885) in the comparator regimen group (HR=0.655; 95% CI: 0.334 to 1.283). PFS improvements in the isatuximab regimen group were also observed in patients ≥75 years (HR=0.479; 95% CI: 0.242 to 0.946), with ISS stage III at study entry (HR=0.635; 95% CI: 0.363 to 1.110), with baseline creatinine clearance < 60 ml/min/1.73 m² (HR=0.502; 95% CI: 0.297 to 0.847), with > 3 prior lines of therapy (HR=0.590; 95% CI: 0.356 to 0.977), in patients refractory to prior therapy with lenalidomide (HR=0.593; 95% CI: 0.431 to 0.816) or proteasome inhibitor (HR=0.578; 95% CI: 0.405 to 0.824) and in those refractory to lenalidomide at the last line before to the study entry (HR= 0.601; 95%CI: 0.436 to 0.828). Insufficient data is available to conclude on the efficacy of isatuximab regimen in patients previously treated with daratumumab (1 patient in the isatuximab arm and no patient in the comparator arm). The median time to first response in responders was 35 days in the isatuximab group versus 58 days in the comparator group. With a median duration of follow-up of 11.56 months in the isatuximab group and 11.73 months in the comparator group, median overall survival was not reached for either treatment group. The hazard ratio for OS was 0.687 (95% CI: 0.461-1.023, p-value=0.0631). Figure 1: Kaplan-Meier Curves of PFS – ITT population – ICARIA-MM (assessment by the IRC) Figure 2: Kaplan-Meier Curves of OS – ITT population – ICARIA-MM Cutoff date = 11 October 2018 In the ICARIA-MM (EFC14335) study, a weight-based volume was used for isatuximab infusion. The fixed volume infusion method as described in section 4.2 was evaluated in study TCD14079 Part B and pharmacokinetics simulations confirmed minimal differences between the pharmacokinetics following injection applying a volume based on patient weight and a fixed volume of 250 mL (see section 5.2). In study TCD14079 part B, there were no new safety signals or differences in efficacy as compared to the ICARIA-MM study. Paediatric population The European Medicines Agency has deferred the obligation to submit the results of studies with SARCLISA in one or more subsets of the paediatric population in the treatment of malignant neoplasms of the haematopoietic and lymphoid tissue. See section 4.2 for information on paediatric use.   5.2 Pharmacokinetic properties The pharmacokinetics of isatuximab were assessed in 476 patients with multiple myeloma treated with isatuximab intravenous infusion as a single agent or in combination with pomalidomide and dexamethasone, at doses ranging from 1 to 20 mg/kg, administered either once weekly; every 2 weeks; or every 2 weeks for 8 weeks followed by every 4 weeks; or every week for 4 weeks followed by every 2 weeks. Isatuximab displays nonlinear pharmacokinetics with target-mediated drug disposition due to its binding to CD38 receptor. Isatuximab exposure (area under the plasma concentration-time curve over the dosing interval AUC) increases in a greater than dose proportional manner from 1 to 20 mg/kg following every 2 weeks schedule, while no deviation to the dose proportionality is observed between 5 and 20 mg/kg following every week for 4 weeks followed by every 2 weeks schedule. This is due to the high contribution of nonlinear target-mediated clearance to the total clearance at doses below 5 mg/kg, which becomes negligible at higher doses. After isatuximab 10 mg/kg administration every week for 4 weeks followed by every 2 weeks, the median time to reach steady state was 8 weeks with a 3.1-fold accumulation. The mean (CV%) predicted maximum plasma concentration Cmax and AUC at steady state were 351 µg/mL (36.0%) and 72,600 µg.h/mL (51.7%), respectively. Although the change from a weight-based volume administration method for isatuximab infusion to the fixed volume infusion method resulted in changes in the tmax, the change had a limited impact on pharmacokinetics exposure with comparable simulated Cmax at steady state (283 µg/mL vs 284 µg/mL) and Ctrough at 4 weeks (119 µg/mL vs 119 µg/mL) for a patient with median weight (76 kg). Also for other patient weight groups, Cmax and Ctrough were comparable. The pharmacokinetics of isatuximab and pomalidomide were not influenced by their co-administration. Distribution The estimated total volume of distribution of isatuximab is 8.75 L. Metabolism As a large protein, isatuximab is expected to be metabolized by non-saturable proteolytic catabolism processes. Elimination Isatuximab is eliminated by two parallel pathways, a nonlinear target-mediated pathway predominating at low concentrations, and a nonspecific linear pathway predominating at higher concentrations. In the therapeutic plasma concentrations range, the linear pathway is predominant and decreases over time by 50% to a steady state value of 9.55 mL/h (0.229 L/day). This is associated with a terminal half-life of 28 days. Specific populations Age The population pharmacokinetic analyses of 476 patients aged 36 to 85 years showed comparable exposure to isatuximab in patients <75 years old (n=406) versus ≥ 75 years old (n=70). Gender The population pharmacokinetic analysis with 207 female (43.5%) and 269 male (56.5%) patients showed no clinically meaningful effect of gender on isatuximab pharmacokinetics. Race The population pharmacokinetic analysis with 377 Caucasian (79%), 25 Asian (5%), 18 Black (4%), and 33 other race (7%) patients showed no clinically meaningful effect of race on isatuximab pharmacokinetics. Weight Isatuximab exposure (AUC) at steady state decreased with increasing body weight. Hepatic Impairment No formal studies of isatuximab in patients with hepatic impairment have been conducted. Out of the 476 patients of the population pharmacokinetic analyses, 65 patients presented with mild hepatic impairment [total bilirubin 1 to 1.5 times upper limit of normal (ULN) or aspartate amino transferase (AST) > ULN] and 1 patient had moderate hepatic impairment (total bilirubin> 1.5 to 3 times ULN and any AST). Mild hepatic impairment had no clinically meaningful effect on the pharmacokinetics of isatuximab. The effect of moderate (total bilirubin >1.5 times to 3 times ULN and any AST) and severe hepatic impairment (total bilirubin >3 times ULN and any AST) on isatuximab pharmacokinetics is unknown. However, since isatuximab is a monoclonal antibody, it is not expected to be cleared via hepatic-enzyme mediated metabolism and as such, variation in hepatic function is not expected to affect the elimination of isatuximab (see section 4.2). Renal Impairment No formal studies of isatuximab in patients with renal impairment have been conducted. The population pharmacokinetic analyses on 476 patients included 192 patients with mild renal impairment (60 mL/min/1.73 m2 ≤ estimated glomerular filtration rate (e-GFR) <90 mL/min/1.73 m2), 163 patients with moderate renal impairment (30 mL/min/1.73 m2≤ e-GFR < 60 mL/min/1.73 m2) and 12 patients with severe renal impairment (e-GFR <30 mL/min/1.73 m2). Analyses suggested no clinically meaningful effect of mild to severe renal impairment on isatuximab pharmacokinetics compared to normal renal function. Paediatric population Isatuximab was not evaluated in patients under 18 years of age.   5.3 Preclinical safety data Non-clinical data reveal no special hazard for humans based on conventional studies of repeated dose toxicity, albeit the species selected is not pharmacologically responsive and therefore the relevance for humans is not known. Genotoxicity, carcinogenic potential and toxicity to reproduction and development studies have not been performed.   6. Pharmaceutical particulars 6.1 List of excipients Sucrose Histidine hydrochloride monohydrate Histidine Polysorbate 80 Water for injections   6.2 Incompatibilities This medicinal product must not be mixed with other medicinal products except those mentioned in section 6.6.   6.3 Shelf life Unopened Vial 3 years After dilution Chemical and physical in-use stability of SARCLISA infusion solution has been demonstrated for 48 hours at 2°C - 8°C, followed by 8 hours (including the infusion time) at room temperature. From a microbiological point of view, the product should be used immediately. If not used immediately, in-use storage times and conditions prior use are the responsibility of the user and would normally not be longer than 24 hours at 2°C to 8°C, unless dilution has taken place in controlled and validated aseptic conditions.No protection from light is required for storage in the infusion bag.   6.4 Special precautions for storage Store in a refrigerator (2°C - 8°C). Do not freeze. Store in the original package in order to protect from light. For storage conditions after dilution of the medicinal product, see section 6.3.   6.5 Nature and contents of container 5 ml concentrate containing 100 mg of isatuximab in a 6 mL type I colourless clear glass vial closed with ETFE (copolymer of ethylene and tetrafluoroethylene)-coated bromobutyl stopper. The vials are crimped with an aluminium seal with a grey flip-off button. The fill volume has been established to ensure removal of 5 mL (i.e. 5.4 mL). Pack size of one or three vials. 25 ml concentrate containing 500 mg of isatuximab in a 30 mL type I colourless clear glass vial closed with ETFE (copolymer of ethylene and tetrafluoroethylene)-coated bromobutyl stopper. The vials are crimped with an aluminium seal with a blue flip-off button. The fill volume has been established to ensure removal of 25 mL (i.e. 26 mL). Pack size of one vial. Not all pack sizes may be marketed.   6.6 Special precautions for disposal and other handling Preparation for the intravenous administration The preparation of the infusion solution must be done under aseptic conditions. • The dose (mg) of SARCLISA concentrate should be calculated based on patient weight (measured prior to each cycle to have the administered dose adjusted accordingly, see section 4.2). More than one vial may be necessary to obtain the required dose for the patient. • Vials of SARCLISA concentrate should be visually inspected before dilution to ensure they do not contain any particles and are not discolored. • Do not shake vials. • The volume of diluent equal to the required volume of SARCLISA concentrate should be removed from a 250 mL sodium chloride 9 mg/mL (0.9%) solution for injection or glucose 5% solution diluent bag. • The appropriate volume of SARCLISA concentrate should be withdrawn and diluted in the 250 mL infusion bag with sodium chloride 9 mg/mL (0.9%) solution for injection or glucose 5% solution. • The infusion bag must be made of polyolefins (PO), polyethylene (PE), polypropylene (PP), polyvinyl chloride (PVC) with di (2-ethylhexyl) phthalate (DEHP) or ethyl vinyl acetate (EVA). • Gently homogenize the diluted solution by inverting the bag. Do not shake. Administration • The infusion solution must be administered by intravenous infusion using an intravenous tubing infusion set (in PE, PVC with or without DEHP, polybudadiene (PBD) or polyurethane (PU)) with an in-line filter (polyethersulfone (PES), polysulfone or nylon). • The infusion solution should be administered for a period of time that will depend on the infusion rate (see section 4.2). • No protection from light is required for the prepared infusion bag in a standard artificial light environment. • Do not infuse SARCLISA solution concomitantly in the same intravenous line with other agents. Disposal Any unused medicinal product or waste material should be disposed of in accordance with local requirements.   7. Marketing authorisation holder sanofi-aventis groupe 54 rue La Boétie 75008 Paris France   8. Marketing authorisation number EU/1/20/1435/001 EU/1/20/1435/002 EU/1/20/1435/003   9. Date of first authorisation/renewal of the authorisation 30 May 2020   10. Date of revision of the text 30 May 2020 Detailed information on this medicinal product is available on the website of the European Medicines Agency http://www.ema.europa.eu.